3x^2 4x 1X^2 9 put the cube root of each term with the sign in a binomial, th trinomial with a coefficent of the x^2 term;Y = x2 6x 9 y = (x3)2 9 9 y = (x3)2 18 y 18 = (x3)2 y 18 ≥ 0 y ≥ 18 Find the minimum or maximum value for y Sep 61955 Completing the Square to Solve Problems LO all pupils can use their completing the square knowledge to •find the range of values for y •find the vertex and the equation of the line of symmetry
How To Factorise A Polynomial By Splitting The Middle Term A Plus Topper
Factorise 2x+y)^2-9(x+y)-5
Factorise 2x+y)^2-9(x+y)-5-1192 days 12 hours 29 minutes ago Pranav Sambhaji Temgire i did not understand set and therom By the change of base formula, $\log_4{x^22x1}$ is equal to $\frac{\log_2{x^22x1}}{\log_2{4}}$, or $\frac{1}{2} \log_2{x^22x1}$ Since both sides are in the same base, we can directly solve the inequality



Cbse 8 Math Cbse Factorization Ncert Solutions
Two perfect squares that are being subtracted;Just as y = mx b is a useful format for graphing linear functions, y = a(x h)^2 k is a useful format for graphing quadratic functions We will explore its uses and learn how to convert anySolving linear equations (xy) 2 z 2 (x2 1/x2 ) 4 (x1/x)6 Factorise the sum plzzz anyone X/2
Despite the fact that the same variables appear in every term, this expression does not factorize into one term There is no common factor, and no common bracket EAch term can be factored by differemce of squares xy(x^2y^2) yz(y^2z^2) zx(z^2x^2) =xy(xy)(xy) yz(yz)(yz) zx(zx)(zx) The only other option would be to multiply out the brackets and try a Then factor the numerator (x² 9) (x² 9) = (x² 9) (x 3) (x – 3)/ (x 3) That leaves (x² 9) (x – 3) 1) RULE You cannot divide a function by 0 Never So the excluded value is going to be the value at which the denominator equals 0 2) I would say to simplify this function, divide the numerator by the denominator usingIf one zero of polynomial a 2 9x 213x6a is reciprocal of other find value of a Let the roots of a2 9 x2 13x 6a be p and 1pProduct of
In this math video lesson I review how to factor x^23x4 Factoring is a good skill for students in Algebra 2 and the techniques used in this video can bePlease answer my question fast pls pls 8x 24x = ?Xy=2 (1) x 2 2y=12 (2) As we are dealing with x 2 we're going to have to use substitution to solve this set of simultaneous equations From the first equation, we can rearrange to make y the subject y=2x (3)Now, we can substitute our new equation (3) into equation (2) to eliminate y x 2 2(2x) = 12 By expanding we get x 2 42x = 12 To solve for x we need to make the equation



Simplifying Algebraic Expressions



Q4 If X Y 5 And X Y 7 Then Find The Value Of Q5 Gauthmath
👍 Correct answer to the question B) Factorise fully 8x2 6x eeduanswerscomGet a free home demo of LearnNext Available for CBSE, ICSE and State Board syllabus Call our LearnNext Expert on 1800 419 1234 (tollfree) OR submit details below for a call backFree math problem solver answers your algebra, geometry, trigonometry, calculus, and statistics homework questions with stepbystep explanations, just like a math tutor



What Is The Center Of The Ellipse Math Frac X Y 2 2 9 Frac X Y 2 16 1 Math Quora



2 X Y 9 X Y 5 Factorise Brainly In
1 of 2 SC Version 10 Quadratic card sort Place the cards below on the grid on page 2, aiming for at least one in each cell If this is not possible, explain why y x 2 2x 4y x 2 5x 4 y 2x 2 5x 3 y 2 x 4 y 2x 2 7x 3 y 4 3 x y x 2 5x 2 y 6x 2 9 y x 2 3x 1 y 2 10x 9 y xIn general, one does not factor mathxy/math, because mathxy/math is as simplified as the expression gets However, there are ways in which mathxy/math could be factored, if the situation calls for it (or even if it does not, but the2 \ 9 9 99 documentation olsc CONCLUSION Neat theoretical reasons to prefer \ over inv but not much impact (for the statistician) in practice for two reasons 1 is (often) small and therefore the inverse is very fast to calculate 2 The numerical problems with squaring is



Scarpelli Assignment 2



Factorisation Of Algebraic Expressions Rd Sharma Class 9 Solutions
Correct answer to the question Factorise 4(x y)^2 9(x y)^2 Recall the definition of a polynomial expression find two polynomial expressions whose quotient, when simplified, is use that division problem to determine whether polynomials are closed under division then describe how theother three operationsaddition, subtraction, and multiplicationare different from division of polynomialsWhen x = 3, the left hand side of the equation equals 2This is not equal to the right hand side of the equation, 0x = 3 does not solve the equationx = 1 and x = 2 solve the quadratic equation x 2 − 3x 2 = 0A quadratic equation will always have 2 values of x that solve the equation There are always 2 roots How to Solve Quadratic Equations There are 3 ways to solve quadratic equationsHere given is, when Y = 7 we have X = 56 We need to find when Y = 1/2, what will be the value of X?



Solve Division Of Polynomials Step By Step Math Problem Solver



Simplifying Algebraic Expressions
Answered f (x)=x33x29x27 determine the zeros, bartleby f (x)=x33x29x27 determine the zeros, their multiplicity, and whether the graph will touch or cross the xaxis at each zero Then, determine the end behavior of the function and sketch a graph of the functionFirst we factorise the equation to get \(x2y)^3=2^{30},\ which when we cube root both sides gives us \x2y=2^{10}\ The function \(y=x^3\) is always increasing, so factorise 25(xy)29(xy)2 (xy)(3x7)(xy)(2x11) (n10)square(10n) The length,breadth and height of a room 1050cm,750cm,425cm find the longest tape;



Stdixjfactorise The Following See How To Solve It At Qanda



Factorise 2 X Y 2 9 X Y 5 Maths Polynomials Meritnation Com
For that divide both side by 7 So we get When Y = 7/7 that implies X 1 16x^2 2 2x 15x^2 1 14x a 31x^2 16x 1 b x^2 12x 1 c x^2 16x 1* d x^2 16x 2 2 3x^2 6 2x 5x 4^2 9 a x^2 3x 15* b 7x^2 3x 3 c x^2 3x 15 d x^2 7x 15 3 2x^2 6x 7x Government US 35Quadratic Function Factoriser If the roots of a quadratic equation ax2bxc are α and β, then we can factorise ax2bxc to a(x−α) (x−β) You can get your quadratic function factorised here To learn how to do this yourself go to this page



Why Doesn T Math X Y 2 Math Equal Math X 2 Y 2 Math Quora



Factorisation Algebraic Expressions Siyavula
When Y = 7 that implies X= 56 First find when Y = 1, what is the value of X?Factor 64(x y) 3 27y 3 We have another costumed crusader here This time, they've disguised their variables to look more complicated than they actually are It's still a sum of two cubes, though Rewrite as 4(x y) 3 (3y) 3 That makes it more obvious Our terms are 4(x y) and 3y We can work with this; Factorisex^45x^29 Factorise x^45x^29 GauriS8 is waiting for your help Add your answer and earn points



Factor Factor A Polynomial And Trinomial With Step By Step Math Problem Solver



Factorize 4 X Y 2 12 X Y X Y 9 X Y 2 Sarthaks Econnect Largest Online Education Community
And when y=1, x=2 Factorise a^2/9 64 snow white takes the age of the youngest dwarf as X years ,then the age of the dwarf who is one year older is yearsX(x^2 9) = 0 Factorise by taking out a common factor then use the difference of two squares and solve to find the values of Equation x x(x 3)(x 3) = 0 x = 0, x = 3, x = 3 These are the three x coordinates of where the curve and straight line meet



X Y 2 9 Factorise It Brainly In



Difference Of Squares Recall That When Multiplying Conjugate Binomials The Product Is A Difference Of Squares E G X 7 X 7 X Therefore Ppt Download
Question rewrite function f(x)=1/3x22x9 in the form f(x)=a(xh)2k give x and y intercepts give domain and range Found 2 solutions by MathLover1, stanbonMay need to factorise the denominators first To rationalise the fraction multiply by a±Ub' To show a statement is an identity, expand and simplify the expressions on one or both sides of the equals sign, until the two expressions are the same A function is a rule for working out values of y when given values of x eg y = 3x and y = x?Factoring a Equation Multiply every term in the equation 2x^=0 by a number other then 0, or 1 then solve for x by factoring One Answer oldest newest most voted



Pmt Physicsandmathstutor Com Download Maths A Level C4 Topic Qs Edexcel Set 1 C4 differentiation implicit differentiation Pdf



Factor Factor A Polynomial And Trinomial With Step By Step Math Problem Solver
On the other hand, 2x 2 – 162 = 2(x 2 – 81), and x 2 – 81 is a quadratic When you see that you have a twoterm nonlinear polynomial, check to see if it fits any of the formulas In this case, you've got a difference of squares, so apply that formula 2x 2 – 162 = 2(x 2 – 81) = 2(x – 9)(x 9) Warning Always remember that, in cases like 2x 2 162, all you can do is factor outFactorise 9 x 2 − 16 y 2 Please scroll down to see the correct answer and solution guide Right Answer is SOLUTION 9 x 2 − 16 y 2 (3 x) 2Factorise y^2 5y6 Factorise 25x^2/4 y^2/9 Find the remainder on dividing p(x) =x^3 1 by x1 Tweet Description test your skills on algabra Discussion GanErdene i got 054 that score is not that bad right?



Solve The Linear Differential Equation X 2 1 Dy Dx Xy X Youtube



Chapter 3 More About Factorization Ppt Download
The solution to the equation 4x 2 12x 9 = 0 is x = 3/2 To solve this equation, we start by factoring the trinomial on the lefthand side of the Active 3 years, 11 months ago Viewed 79 times 1 Polynomial to factorise 2 x 2 y 2 − 3 y = 0 This is what I did but couldn't reach the final factors 2 x 2 − 2 y 2 − 3 y 2 = 0 2 ( x − 1) ( x 1) ( y − 2) ( y − 1) = 0👉Learn how to factor quadratics A quadratic is an algebraic expression having two as the highest power of its variable(s) To factor an algebraic expressio



10 X Y 2 X Y 4 And 15 X Y 5 X Y 2 P S 1 4 Q2 Linear Equation In Two Variables Youtube



49 X Y 9 2x Y Tell This Factorise Brainly In
x2 −9 is a difference of squares and in general factorises as ∙ xa2 −b2 = (a −b)(a b) here a = x and b = 3 ⇒ x2 −9 = (x − 3)(x 3) Answer link smendyka See a solution process below Factorise(xyz)^3 (xyz)^3 8x^3 Math Fully factorise 16x^36 1 math Factorise 25a^235a12 Maths Methods Factorise 5x^2 8x 3 You can view more similar questions or ask a new question Ishan Goyal answered this 4 ( x 2 2xy y 2) 12 ( x 2 y 2) 9 (x 2 2xy y 2) =4 x 2 8xy 4 y 2 12x 2 12y 2 9x 2 18xy 9 y 2 = x 2 10xy 23 x 2 = if its correct please give thumps up!1 Was this answer helpful?



Answers



2 X Y 2 9 X Y 5 Youtube
It's just going to require aClass Notes Class VIII Topic Ch14, FACTORISATION Subject MATHEMATICS EXERCISE – 142 Q3 Factorise the expressions Solution (i) ax Click here 👆 to get an answer to your question ️ 4(8x 1) − 3x = 2 − 3(4x 2) good luck!



Factorise I 4x 2 9y 2 16 Z 2 12 X Y 24 Y Z 16 X Z Ii 2x 2 Y 2 2sqrt 2 X Y 4sqrt 2 Y Youtube



How To Factor X 3 X 2 Xy X Y 1 Quora
And 1 more x2 xy x y =?Therefore the last matrix is much faster to factorise 2 3 C Z?4x^29y^216z^212xy24yz16zx If the lines represented by 4x^(2)12xy9y^(2)6x9y=1 are 2 tangents to a circle then its area is



2 X Y 9 X Y 5 Factorize Brainly In



Factorise 2 X Y 9 X Y 5 Brainly In
This problem is called a "Difference of two Squares" since x^8 is actually a perfect square x^4*x^4 x^81 (x^41)(x^41) The SUM of two Squares does NOT factor like the Difference of Squares factors, so leave it alone However, notice that the first factor x^41 DOES factor again (x^21)(x^21)(x^41)Find the slope of the line on the graph Reduce all fractional answers to the lowest terms 1/2 2 1/2You can check out similar questions with solutions below Please tell fast Factorise 4x ^2 9y ^2 6x 9y solve the equation please factorise 4x (square) 9y (square) 16y (spuare) factorise 4x ^26xy 9y ^2 experts please answer fast !!!!



Factorise 4 X 2 9 Y 2 16 Z 2 12 X Y 24 Y Z 16 X Z 2 X Scholr



Review Problems For Basic Algebra I Students
Factorise x 2 3x 4 Get the answers you need, now!Factor x 4 81 y 4 This expression can be factored as a difference of two squares because 81 is a square number Rewrite 81 as x 4 as ( x 2) 2 , 9 2 = ( 3 2) 2 and y 4 as ( y 2) 2, ( x 2) 2 ( 3 2) 2 ⋅ ( y 2) 2 Combine ( 3 2) 2 and ( y 2) 2,Factor y^210y9 y2 − 10y 9 y 2 10 y 9 Consider the form x2 bxc x 2 b x c Find a pair of integers whose product is c c and whose sum is b b In this case, whose product is 9 9 and whose sum is −10 10 −9,−1 9, 1 Write the factored form using these integers (y−9)(y−1) ( y 9) ( y 1)



Selina Solutions Class 9 Concise Maths Chapter 5 Factorisation Download Free Pdf



Evaluate 9 3 2 6 1 7 0 8 1 3 Solve For X Chegg Com
We then expand this expression to get 14y4y^2=9, which can be rearranged to 4y^24y8 = 0 The common factor 4 can be taken out, and we can factorise this expressions into 4(y2)(y1)=0 We can calculate that the values of y are y=2 and y=1 Using the first equation, when y=2, this means that x=1;



Assignment 9 6 2 1 6 2 2 1 S



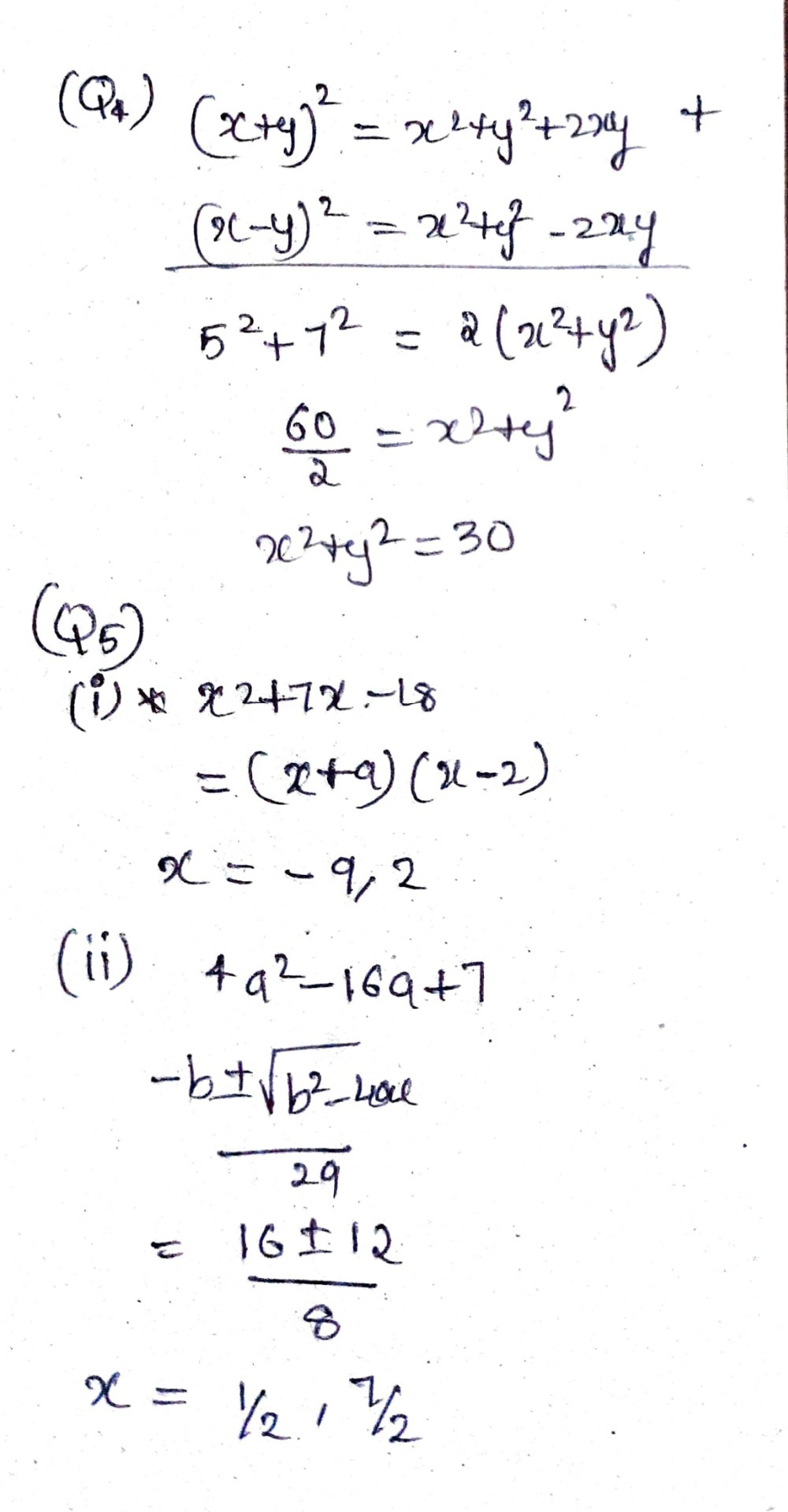
If X Y 9 And Xy Then Find The Value Of X 2 Y 2 Youtube



Telangana Scert Class 9 Math Solution Chapter 2 Polynomials And Factorisation Exercise 2 5



Evaluate 9 3 2 6 1 7 0 8 1 3 Solve For X Chegg Com



Systems Of Equations With Substitution Y 5x 8 10x 2y 2 Video Khan Academy



Factorisation And Algebric Ex See How To Solve It At Qanda



Factor Completely 3y 3 12x 2 Y 7a 3 7 X 3 Chegg Com



How To Factorise A Polynomial By Splitting The Middle Term A Plus Topper



If X Y Z 9 And Xy Yz Zx 23 The Value Of X 3 Y 3 Z 3 3xyz Youtube



Factorize 2 X Y 9 X Y 5 Brainly In



Class 9 Polynomial 2 Coordinate Geometry Linear Equation In Two Variables Euclid S Geometry Lines And Angles Notes



Www Tau Ac Il Levant Ode Solution 6 Pdf



Factorisation 25 X Y 2 15x X Y X Y



Factorise The Following Expression 4 X Y 2 12 X Y 981 X 1 2 90 X 1 Y 2 25 Y 2 2 Brainly In



Chapter 1



The Rules Of Dividing Exponents



Rd Sharma Class 9 Chapter 5 Factorization Of Algebraic Expressions Free Pdf



Section 2 Quadratic Functions



How To Factorise A Polynomial By Splitting The Middle Term A Plus Topper



R D Sharma Solutions Class 7 Math Chapter 7 Algebraic Expressions Exercise 7 2



Example 18 Factorize I 49a2 70ab 25b2 Ii 25 9



Chapter 3 Factorisation Of Polynomials R K Bansal Solutions For Class 6 Mathematics Maharashtra Topperlearning



Factorize 4 X Y 2 12 X Y X Y 9 X Y 2 Sarthaks Econnect Largest Online Education Community



Chapter 3 More About Factorization Ppt Download



Solving Equations Algebraically



ग णनखण ड क ज ए Br I 4a 2 9b 2 16c 2 12ab 24bc 16ca



Cbse 8 Math Cbse Factorization Ncert Solutions



Factorise By Splitting The Middle Term 9 X 2y 2 4 X 2y 13 Brainly In



14 1 Functions Of Several Variables Mathematics Libretexts



Solve Division Of Polynomials Step By Step Math Problem Solver



How Do You Graph Y X 2 9 Socratic



Ex 2 5 5 Factorise I 4x2 9y2 16z2 12xy 24yz



R D Sharma Solutions Class 10th Ch 3 Pair Of Linear Equations In Two Variables Exercise 3 3



Lagrange Multipliers Minimize F X Y X 2 Y 2 Subject To X 2y 5 0 Youtube



How To Factorise 3 X Y 2 2 X Y Quora



Class 9 Polynomial 2 Coordinate Geometry Linear Equation In Two Variables Euclid S Geometry Lines And Angles Notes



Chapter 3 More About Factorization Ppt Download



How Do You Factor X 3 8x 2 19x 12 Socratic



Systems Of Equations With Substitution 2y X 7 X Y 4 Video Khan Academy



Rd Sharma Solutions For Class 8 Chapter 7 Factorization Download Free Pdf



Solving Equations Algebraically



Factor Factor A Polynomial And Trinomial With Step By Step Math Problem Solver



Factorise X Y 2 7 X 2 Y 2 12 X Y 2 Youtube



How To Solve For X And Y In X Y 5 And Xy 6 Quora



Expansion And Factorisation Bingo Card



Factor The Gcf 6x 4y 5 15x 3y 2 9x 2y 3



Ex 2 5 5 Factorise I 4x2 9y2 16z2 12xy 24yz



6 Long Answer Typo Questions Factorise A 16 X 2 9 Y 2 4 Z 2 24 X Y 12 Y Z 16 Z X B 4 B 2 B 2 25 C 2 4 A B 10 B C C A



Solving Quadratics By Taking Square Roots Examples Video Khan Academy



Cbse 8 Math Cbse Factorization Ncert Solutions



Cbse 9 Math Cbse Polynomials Ncert Solutions



Factorise This 9 X 2 2xy Y 2 Brainly In



Factoring Practice Test Answers Pdf



Ex 14 1 3 I Factorise X 2 X Y 8x 8y Ex 14 1



What Is The Center Of The Ellipse Math Frac X Y 2 2 9 Frac X Y 2 16 1 Math Quora



0 18 Factorise 2 X Y 2 9 X Y 5 Brainly In



Factoring By Grouping Algebra Socratic



Factorise 2 X Y 9 X Y 5 Youtube



4 Xy 1 2 9 X 1 2 Mathematics Topperlearning Com Dsejxk22



Cbse 8 Math Cbse Factorization Ncert Solutions



Factorize 2 X Y 9 X Y 10 Brainly In



Exercise 2 4 Question 5 Ncert Solutions Maths Chapter 2 Class 9



How To Factorise 3 X Y 2 2 X Y Quora



Factorise A A 2 B 2 C 2 B 25 X Y 2 9 X Y 2 C 4 A 2 9 A 2



Factorize 2 X Y 2 9 X Y 5 Sarthaks Econnect Largest Online Education Community



Factorise 4 X Y 2 12 X Y X Y 9 X Y 2 Brainly In



Implicit And Logarithmic Differentiation



If Math X Y 3 Math And Math X 2 Y 2 3 Math Then What Is The Value Of Math X 2 Y 2 Math Quora


0 件のコメント:
コメントを投稿